はじめに
あっども、数学研究部です。
この度タイトルにもある通り、”週末”に”積分”の問題を一問ずつあげて解説していくという
「週末の積分」シリーズを始めます。

この「週末の積分」シリーズは、週末に1問、積分の問題を掲載、解説するコンテンツです。数Ⅲの積分を中心に扱っていく予定ですが、数Ⅱの積分など、積分に関する問題を幅広く扱っていきたいなとも思っております。
投稿形式ですが、「週末の積分 #$n$」の投稿にて、#$n$ の問題の解説と #$(n+1)$ の問題を掲載します。全$50$回の予定なので、どうぞ最後までお付き合いください。
記事の構成
このシリーズの記事では
- 前回の解説
- 次回の問題
の2つをメインに執筆していきます。
主に考え方などの重要な部分は黄色のマーカーに太字で、実際の答案としては下記の青ボックスに書いていきます。
答案はこの枠内に
また記述量の関係で、関数の微分の計算については記事内には書きません。その代わり番外編という形で、微分についてまとめた記事を新しい関数の微分が出てきた都度更新していく予定なので、そちらを参照にしてください。
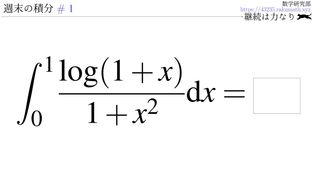
次回の問題
それでは早速ですが次回の問題を。
